QUALITY AND METHODS OF ASSURANCE

PURPOSE

The term quality is often used to promote a manufacturer's product as being superior to a competitor.  But, how is quality integrated in the manufacturing plan, and how is quality, defined, measured, and assured?  These questions will be addresses in this short module on quality assurance.  The purpose of the the module is to provide a brief  look at the tools and procedures currently being carried out in industry.  While quality may involve simple gauging, Total Quality Management (TQM), ISO full compliance,and more, the purpose of this module is to look a a few select aspects of quality assurance including, inspection, statistical process control, process capability, and introduction to DOE.

OBJECTIVES:  After completing this module, you should be able to do the following:

     Distinguish between Quality Control and Quality Assurance;
     Develop a Cause-And-Effect Diagram for a simple process;
     Explain the difference between attributes and variables;
     Calculate and interpret a "Z" score;
     Explain six sigma relative to quality;
     Outline the "components of Statistical Process Control;
     Define Process Capability;
     Outline a simple Design for Experimentation;
     Interpret the results of a two-level, two factor experiment.

TERMS:

      ATTRIBUTE
      VARIABLE
      VARIATION
      COMMON CAUSE VARIATION
      SPECIAL CAUSE VARIATION
      MEAN
      STANDARD DEVIATION
      SAMPLING
      STATISTICAL PROCESS CONTROL
      CONTROL LIMITS
      CONTROL CHARTS
      PROCESS CAPABILITY
      DOE
 

INTRODUCTION

     Quality may be defined by different people using various descriptors; however, it ultimately means how satisfied the customer is or to what degree is a product or service "fit for use".    Quality is achieved through either quality of design or quality of conformance.  Quality design means the different levels of performance, reliability, function or serviceability that result from decisions made by engineering and management.  On the other hand, conformance means the systematic reduction of variability and elimination of defects.  Further, standards have been adopted to assure not only how, but the manner in which quality is carried out. Suppliers may be required to become certified in order to maintain the business of being a vendor to a manufacturer in other words "Vendor Certification" and ISO Certification may be required.   While, these topics are beyond the intention of this module, the are mentioned to  emphasize a point:  THERE ARE NO ABSOLUTES, EVERYTHING VARIES IN INDUSTRY OR EVERYDAY LIFE.     There are differences in twins, or ball bearings or basketballs, cookies, or sparkplugs....everything varies.  The goal, is to identify and measure, and control the sources of variation.  Sounds too simple....it is.  We will look at a few common tools used in trying to seek improvement in quality.  Quality is NOT something that can be added on in the end it must be integrated throughout and become a holistic approach for continuous improvement throughout the organization.

INSPECTION

     By the strick definition, quality control implies meausrement and inspection (usually after the fact) and thus is a method of detection.  On the other hand, quality assurance is a prevention system that seeks to correct problems BEFORE bad parts are produced.  In either case, inspection is necessary to determine if a product is within the required specificationsInspections are conducted is to check how well a product conforms to specifications.  Quality is not cheep!  Usually it isn't possible to check 100% of all product; thus, sampling methods are used in making decisions about whether to reject or accept a lot or production run.  This inspection must be on-going and continuous because of variation.  There are two basic ways in which inspections can be carried out.  These involve checking attributes or variables.   Attributes are measured using pass/fail, or GO/NOGO gauging.   While checks can be carried out simply, analysis of "why" or trending, cannot be conducted without variable measurement.   Variable measurement is a quantitative measurement of specific characteristics of interest such as dimensions, mechanical properties, and surface finish roughness.  An example of attribute versus variable inspection is shown below.

STATISTICAL METHODS FOR QUALITY CONTROL

     Statistical methods are used to evaluate not only if a product is conforming to specifications, but also how well it conforms.  In other words, the goal is to seek and detect variation in the process.  There are too major types of variation that occur.  Common cause variation and special cause variation.  Other terms commonly used are natural chance causes or assignable causes.  An assignable causes can be traced to a specific and controllable cause.   While the source of variation is is virtually infinite, there are typically five categories of variation of concern.
These include variation in or by humans, materials, machines, measurement, and the environmentSimilarly, there are quality tools that are available to assist in the detection of variation including both graphical and statistical.

 The major graphical tools of  statistical methods include:

     1.  Histograms

     2.  Pareto Charts
     3.  Cause-and-effect diagrams

     4.  Control charts
    5.  Scatter Diagrams

Descriptive Statistical Measures

   Consider a process that involves an assembly of a gear on a shaft.  One of the variables of interest would be the outside diameter of the shaft and the the other the inside diameter of the gear.  The attribute approach would simply check to see if the tolerance range is met by each.

However if quantitative measurements are taken, the degree of variation can be determined through statistical tools, and a systematic analysis of determining causal relationships can begin.

If quantitative data is obtained, variable measurements are descriptive statistics such as the mean and  range of variance about the average or mean.   The mean is the arithmetic average of the data found by summing the each observation and dividing by the total number of observations.
 

The range is the difference between  the maximum and minimum values recorded.
 

Range only describes the overall "spread" but does not tell how much the data values vary from the mean.  A more useful measure of variability is the standard deviation.   Remember that sampling is usually conducted and the "statistics" of the sample are used to estimate the "parameters" of the population.

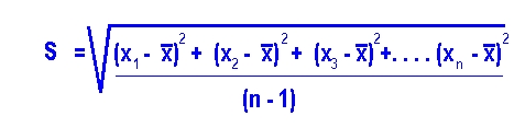
The standard deviation is very useful when the distribution of the process variable under consideration is NORMAL.   The sample standard deviation is the square root of the variance and is found using the following formula:

There are specific characteristics of the normal distribution that make it useful in analyzing data.

Lets look at an example of how the normal distribution might be used to estimate how many parts might be out of tolerance on the "high' side based on the mean and standard deviation of the sample.

Example Problem:

Plain carbon steel bushings are heat treated and temperated with a specification set to a Rockwell C of 36 +/- 4.
The process is well established and normally distributed.  A sampe of 10 units is randomly selected from a production run consisting of 200 parts and hardness readings taken yielding the following results:

   33   34   31   35   32   

Determine the Range and estimate how many parts will have a Rc of greater than 40.

Solution:
 

      R   =  39 - 31  =  8
      _
      X  =  (33 + 34 + 31 + 35  + 32) / 5  = 33

 

Since 2 standard deviations to the left AND right of the mean = 95.46 % of the area under the normal curve,
two standard deviations to the right only = 95.465 / 2 = 47.73 % + 50 % = 97.73 % of the total area.  Therefore, the percent of parts lying to the right of  + 2 standard deviations = 100 - 97.73 =  2.27 %
Thus 200 x .0227 = 4.54 -> 5 parts will likely have hardness numbers greater than 36.16 Rc.
 

STATISTICAL PROCESS CONTROL

One of the major tools of SPC is the control chart.  We have just looked a the normal distribution, and this has the basis for the standard control chart used in SPC.  Imagine rotating the normal distribution 90 degrees and plotting data about a line representing the mean.  By identifying a limit above and below the mean, referred to as the upper and lower control limits, a graphical trend can be generated.
 

 

Trending is very helpful in determining if something has changed to cause excessive variation that needs to be brought "back in control".  There is a catch 22 here though.  How does one know if the trend was common cause variation or special cause variation?   Well the answer is you don't.   Sometimes adjusts are made on machine settings responding to  common cause variation when, in fact, the system should be left alone.   This is called tampering with the system, and only ultimately leads to the process only getting more out of control.  It is "kinda" like trying to give directions to a moving reference....like turn right at the dog standing beside the stop sign...sometimes its there, sometimes it isn't..

The basic purpose of the control chart is to determine whether the quality characteristic being monitored is within the acceptable limits of "natural variation" and whether it is "in control".  Control charts are time series charts that plot historical data.  Often the data is misused to forecast without considering other factors influencing the process.  Two of the most common charts are the X-Bar and R charts.

In general, the X-Bar indicates the typical measurements (the average), and the R chart indicates the variability by plotting the range.  When a process in "in- control", variation will still occur and, the degree of variability will be random and limited in magnitude.  HOWEVER, if the changes in X-BAR and R have excessive changes, then it is implied that there is an assignable cause or a special reason why this change occurred. The control charts help identify when this occurs.
 
 

 

By plotting and monitoring variable believed to be cause-and-effect variables, indications of when "true" adjustments are needed can be established.  It should be noted that SPC is a valuable too, however, an established history must be in place before cause and effect is determined.  A control chart has to have  limits that define the acceptable maximum deviations.  These are the CONTROL limits.  These limits are established using historical data averaged over time.  The average of the average is referred to the GRAND MEAN.   The following example problem will show how control limits are determined.

Example Problem:  The hardness specification for a drive shaft is Rc = 34 +/- 4.   Determine the control limits based on the Rc data taken from the following process runs:

                                                                            SAMPLE
                                                                                                                               _            _    =
                 RUN                                  X1              X2             X3            X4         X          (X - X)2

                    1                                     36               35              33             34        35.5          .64
                    2                                     37               31              31             35        33.5          .04
                    3                                     34               37              36             31        34.5          .64
                    4                                     32               34              35             33        33.5          .04
                    5                                     33               32              33             32        32.5        1.44
                                                                                                               SUM:  168.5        2.80
                                                                                             GRAND MEAN:   33.7
                                                                                              SIGMA                                  .8366
 
Process Capability Analysis

Process capability  means whether or not a process can meet specifications.  In other words, a process is capable if it can consistently produce parts within the specified limits.  To overall goal is to make sure the system is "inside" the specification limits required.
 

 

The degree to which the control limits are located within the specification limits is referred to as the Process Capability (Cp) and is indicated by Cp index.    This value is found by using the following formula:

                               Cp = USL - LSL
                                       ------------
                                           6 sigma

The Cp value should be greater than one, otherwise too large of a percentage of bad parts will be produced.   Ratios greater than 1.33 are generally considered acceptable.  Manufacturers use the Cp ratio of their suppliers to evaluate the capability of the vendors to conform to the manufacturer's specifications.

Example problem:

Determine the process capability index for the previous problem with an Rc specification of  34 +/- 4.
 
                            Cp = USL - LSL            38 - 30
                                     ---------------      =   ------------    =   1.59
                                        6 Sigma              6 (.8366)

DOE

A step beyond SPC is Design of Experiments (DOE).  The real purpose of DOE is to establish the interrelated cause and effect relationship of critical variables.  DOE is a series of statistically based techniques to organize experimentation methods and gather the maximum amount of information with the minimum amount of resources.  Some of  DOE methods employ screening experiments referred to as 2k Factorial Experiments.   The "2" represents the levels or settings for the variables under study and the "k" represents the number of factors being considered.  These methods are attractive because small samples are needed to evaluate the cause and effect relationship AT SPECIFIC levels.  The draw back to 2k experiments is that conclusions can ONLY be drawn at the settings or levels of the experiment, no inference can be made with regard to the change or rate of change between settings.  While this topic goes well beyond the goals of our class,  an example will be used below to introduce DOE using a 22 Factorial.

Example:
     The effects of processing temperature, and percent of reinforcing fiber content on tensile strength for composite material are studied.  There are two levels of temperature (200 and 300 degrees C...lableled - and +).   Similarly there are two levels of  fiber content as a reinforcing material  (10% and 20%  also labeled as - and +).   Tensile strength is  the response variable measured in pounds .   Note since this is a 22 experiment, 4 runs are needed (one for each level/setting).
 
                 RUN            TEMPERATURE [X1]              % Fiber[X2]       X1Y1            RESPONSE (lbs)[Y]
                                                                                                                                                (x 100)

                    1                                    -                                      -                     +                      55.0
                    2                                    +                                     -                     -                       60.6
                    3                                    -                                     +                     -                       64.2
                    4                                    +                                    +                     +                      68.2

                                                       2.4                                  4.2                  -0.4
 

 

Interpretation:   The plot shows the estimated main effects (fiber content and temperature).  The temperature main effect is 2.4 which means that on the average, an increase in temperature of 50 degrees yields an average increase of 2.4 percent increase in tensile strength (note only temperature is being considered here fiber content is not). Stating this another way, a temperature increase from the low level setting of 200 degrees C to the high setting of 300 degrees C leads to a (2 x 2.4) 4.8 percent increase in tensile strength.   Similarly, increasing the fiber content from 10 % to 20 % on the average will yield an 8.4 percent increase in yield strength (ignoring the effect of processing temperature).  The interaction is quite low and can be indicated by the degree to which the lines are parallel on the graphical plot.

Overall interpretation:  Tensile strength can be increased by increasing temperature and fiber content.  Since the fiber content effect is (4.2/2.4 = 1.75 times) greater than the temperature effect, the experiment suggests that the effect of fiber content = 1.75 times the effect of processing temperature at the settings observed.

This example is intended to only show how a DOE can be set up and should not be used as a guide for actual experimentation.  It should be noted that in an actual 2k factorial designs in DOE, individual observations are used to calculate standard errors of the estimated effects to test for statistical significance.  This is beyond the intended scope of this module.
 


SUMMARY

The term quality ultimately means customer satisfaction or fit for use.   Quality control involves detection of defects after the fact, where as Quality assurance seeks to prevent the occurrence of defective products.  Graphical and statistical methods are used to maintain quality and pursue continuous improvement.  Two types of inspection can be carried out.  Attribute inspection in which pass or fail, go or no-go, good or bad type decisions are made.  Variable inspection allows for specific levels of measurement to be taken.  Descriptive statistics can be used to determine how much variations exist for a given variable or variables.  The location of data about the mean can be compared to probability distributions such as the NORMAL distribution.  SPC is usually based on the properties of the normal distribution.  Time series trends can be developed for an process to determine changes over time.  Control limits on the SPC chart provide bounds for keeping the process stable.   These control limits should be centered inside the specification limits.  If this is the case, the process is capable of meeting the required specifications.  A Cp ration can be calculated to determine if the process is capable.   A step beyond SPC is DOE.  Design of experiments seeks to improve a process by studying critical variables with minimum resources.  Two level factorial designs are often used as screening techniques to determine if changes in a variable or variables will produce a desired response.

 

Module 6 Problems

1.   Calculate the mean and standard deviation for the following recorded micrometer reading :
      .252 ,  .255 ,  .251 ,   .248 ,  .253 , .249 , .252 ,  .247 ,  .249  .251

2.  The inside diameter of  a cylinder is 1.875 inches.  If the standard deviation of the diameter is .00005, and a
     total of 100 cylinders are to be produced, estimate how many cylinders will have an inside diameter of less
     than 1.8745 inches.

3.  Develop a X-Bar and R  chart for the data shown below:

         Sample                    Run 1           Run 2         Run 3          Run 4

            1                            22                 22.5              22.5            24
            2                            20.5              22.5              22.5            23
            3                            20                 20.5              23               22
            4                            21                 22                 22               23
            5                            22.5              19.5              22.5            22
            6                            23                 23.5              21               22
            7                            19                 22                 22               20.5
            8                            21.5              20.5              19               19.5
            9                            21.5              22.5              20               22
           10                           21                 23                 22               23

4.  If the tolerance on the part is 21.00 +/_ 2.00 , find the process capability ratio and explain whether or not
     the process is capable of producing good parts.

5.  An experiment is has been conducted to determine the effect of  type of tires and type of transmission on
     fuel economy for a  light weight sport utility vehicle.   The variables are coded as follows:
 
          Tire type:   -   standard
                             +   steel belted radial

          Transmission type:  -  manual
                                           + automatic

Plot the data for the 2 factor DOE shown below and interpret the results.

      RUN              Tire Type               Transmission Type                                     MPG

                                  X1                               X2                      X1X2                   RESPONSE
         1                      -                                     -                            +                            24
         2                      +                                    -                             -                            25
         3                      -                                    +                             -                            18
         4                      +                                   +                             +                           20
 

                                               BACK  TO  MET 366 INDEX